长辈版
无障碍
繁体中文
您的位置:
首页
> 芦岭镇人民政府
>
社会救助领域
>
最低生活保障
信息分类:
内容分类:
最低生活保障
发文日期:
2025-01-03 16:43:01
生成日期:
2025-01-03 16:43:01
生效时间:
废止时间:
发布机构:
芦岭镇人民政府
文 号:
名 称:
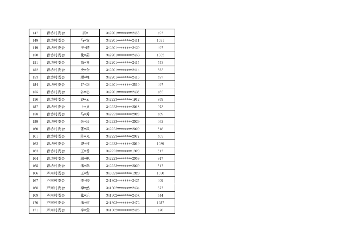
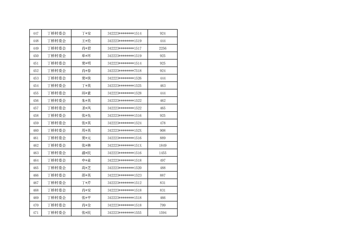
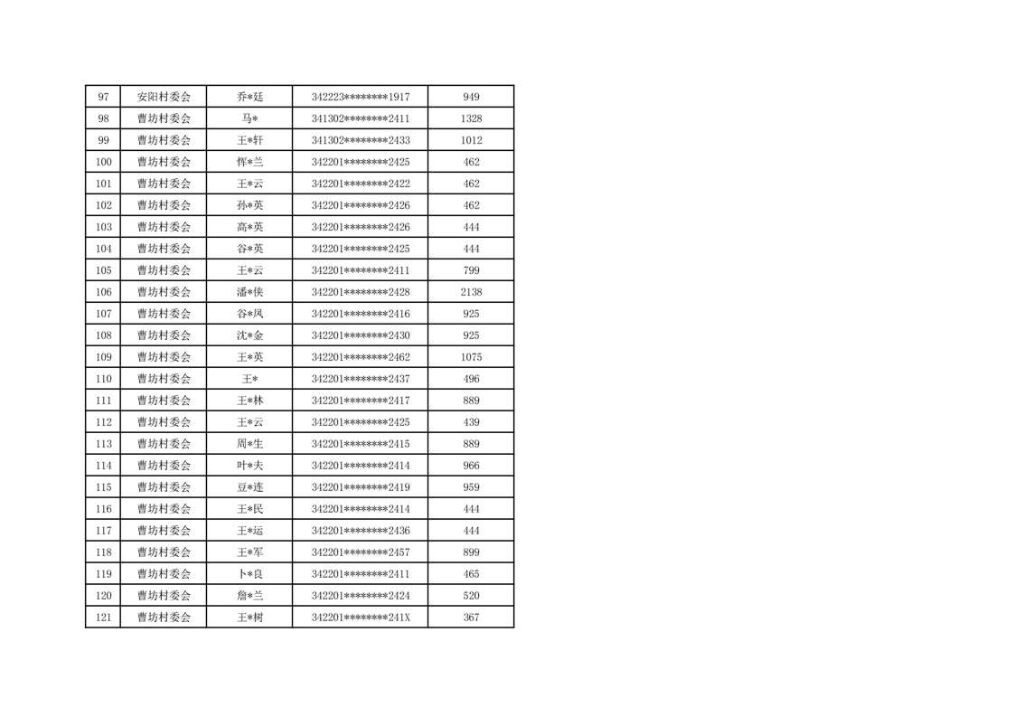
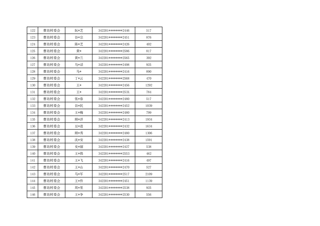
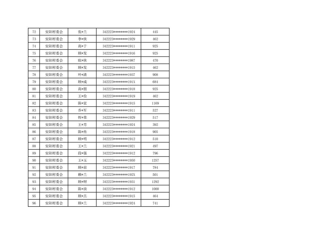
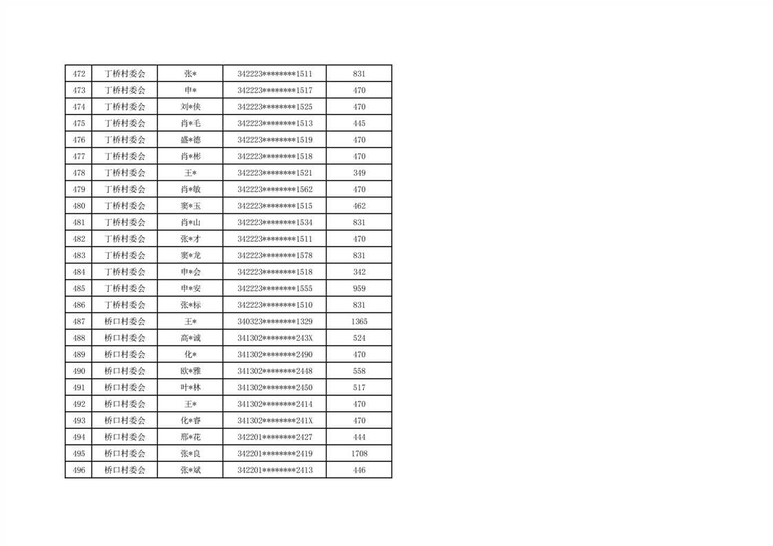
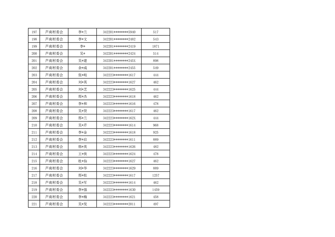
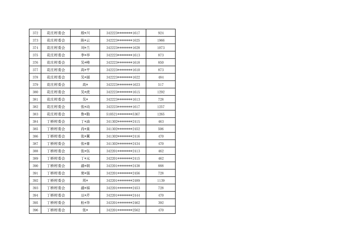
芦岭镇2024年12月城乡低保资金发放情况
关
键
词:
芦岭镇2024年12月城乡低保资金发放情况
文章来源: 芦岭镇人民政府
浏览量:
发表时间:2025-01-03 16:43
责任编辑: 芦岭镇人民政府
字体大小:
【
大
中
小
】
map