长辈版
无障碍
繁体中文
您的位置:
首页
> 芦岭镇人民政府
>
巩固拓展脱贫攻坚成果同乡村振兴有效衔接领域
>
财政衔接推进乡村振兴补助资金
>
资金年度计划
信息分类:
内容分类:
资金年度计划
发文日期:
2025-06-18 09:58:53
生成日期:
2025-06-18 09:58:53
生效时间:
废止时间:
发布机构:
芦岭镇人民政府
文 号:
名 称:
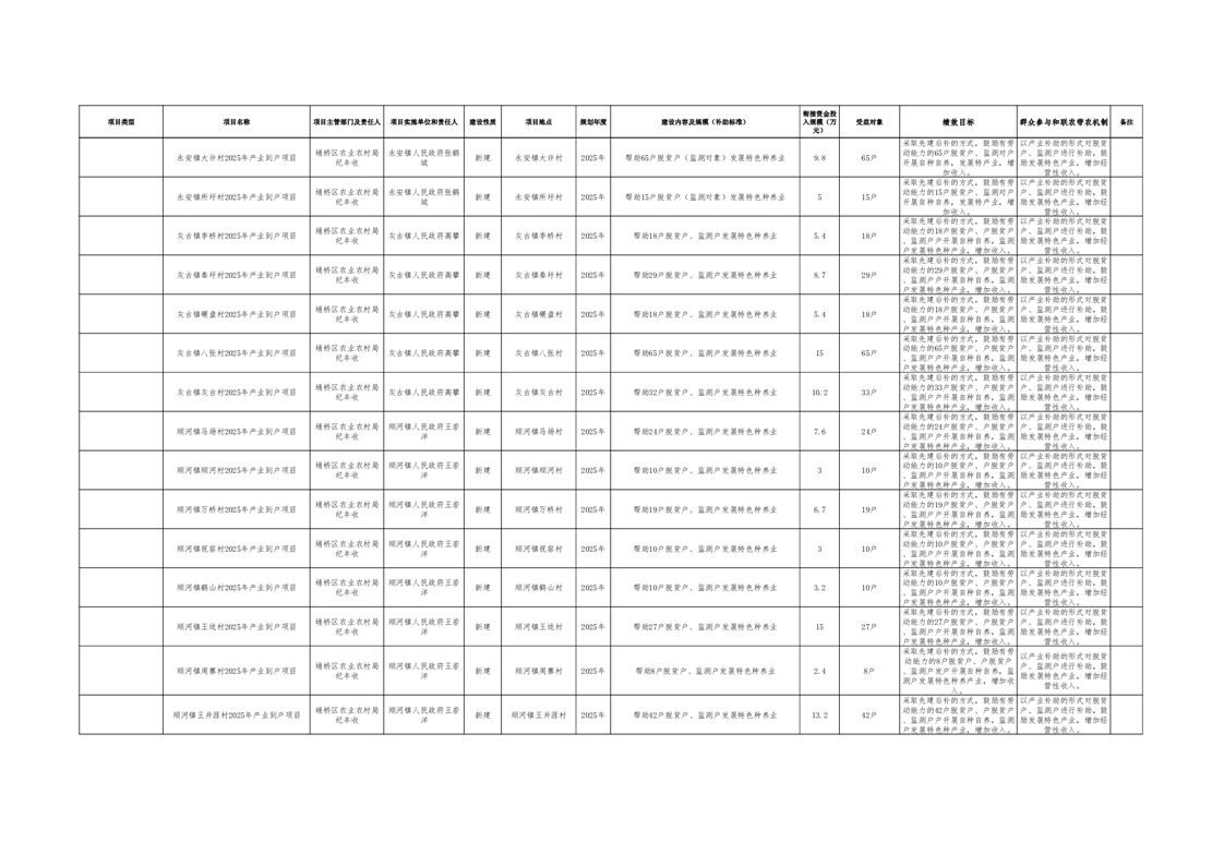
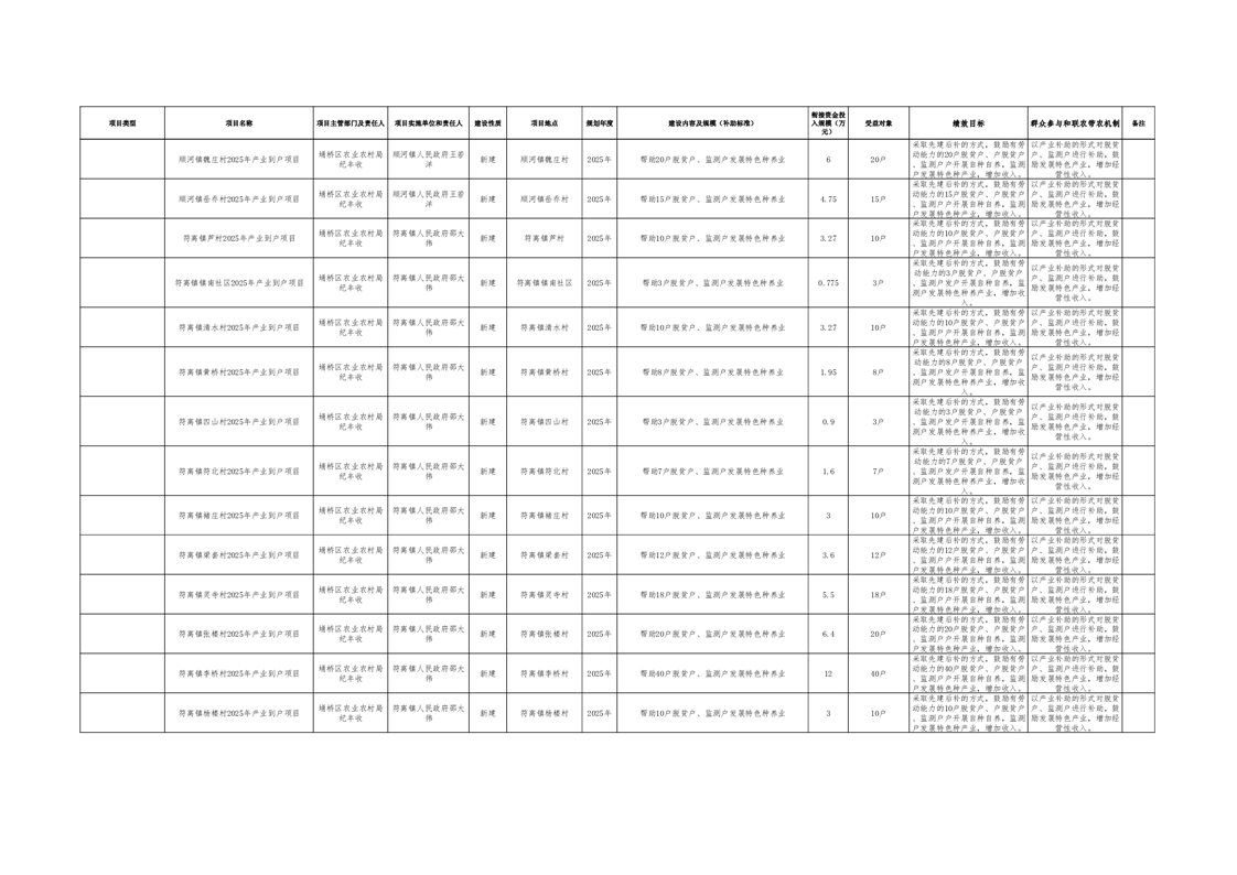
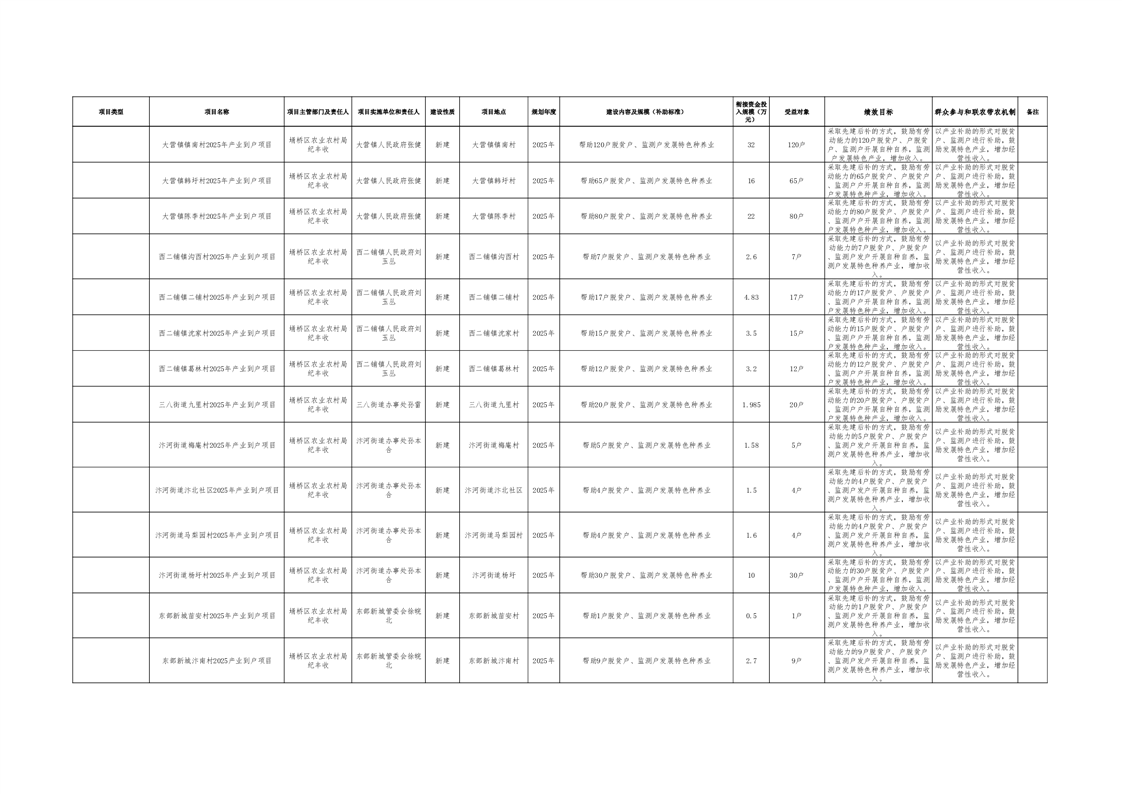
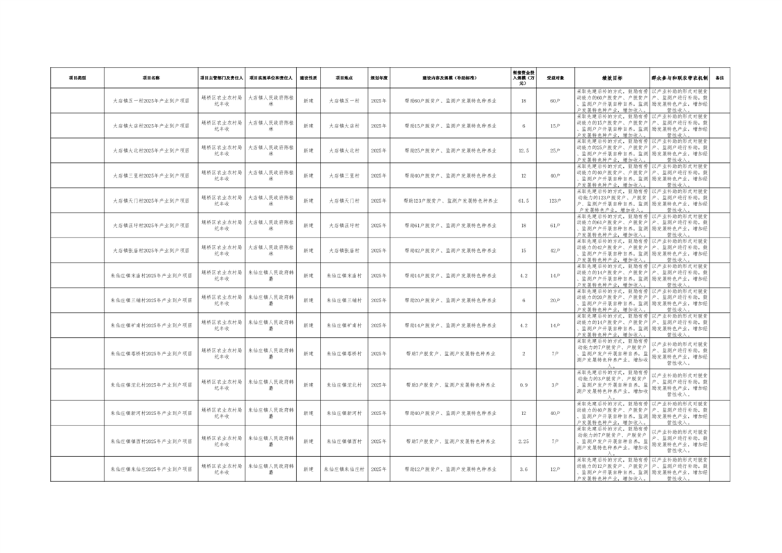
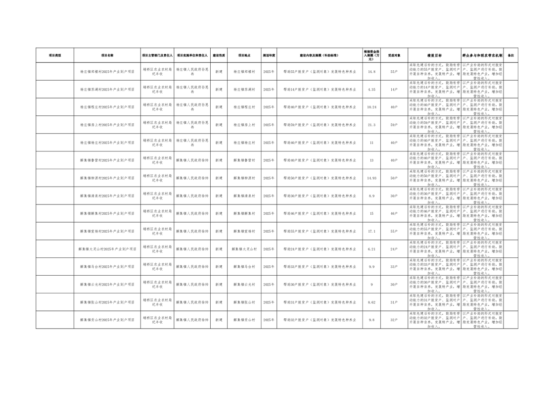
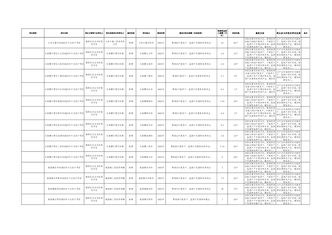
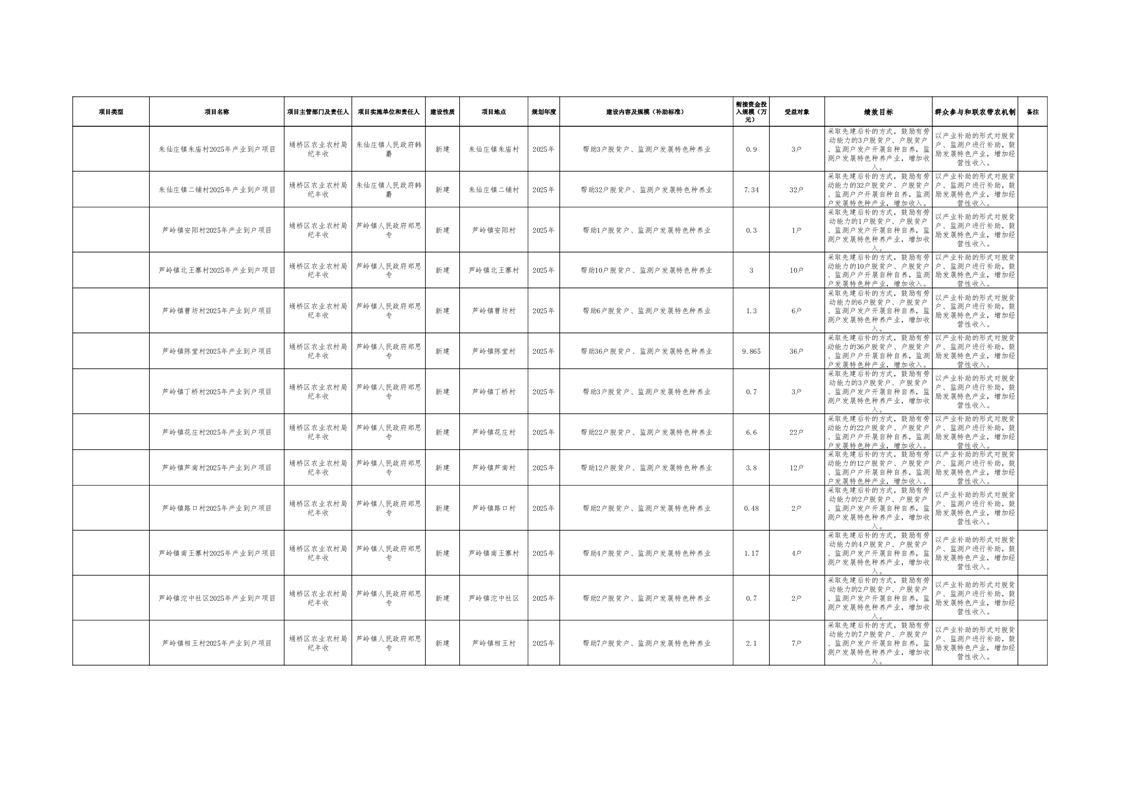
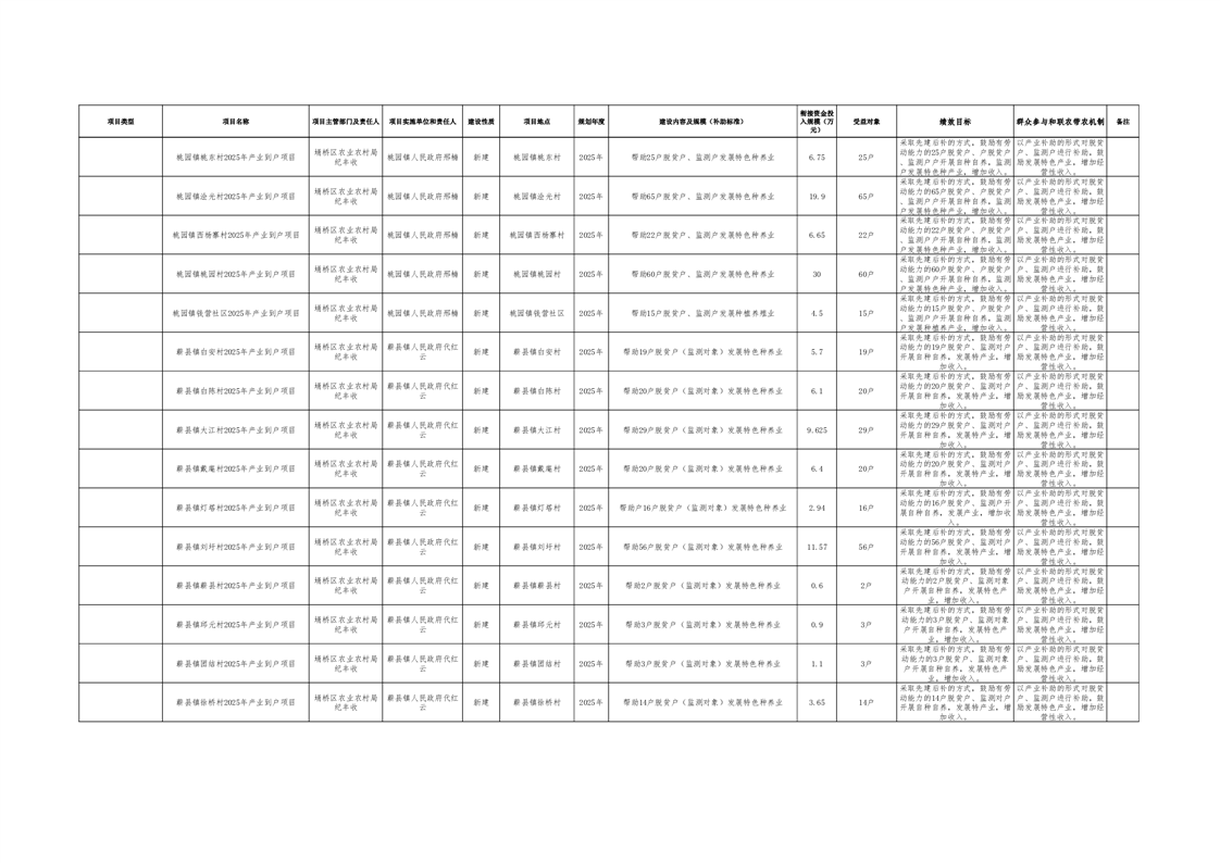
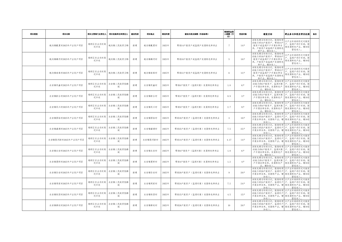
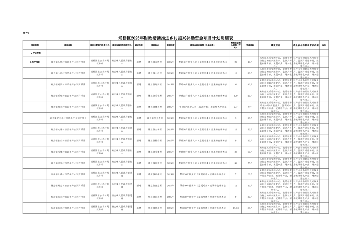
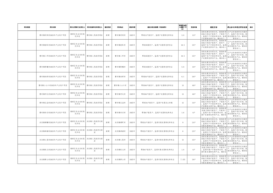
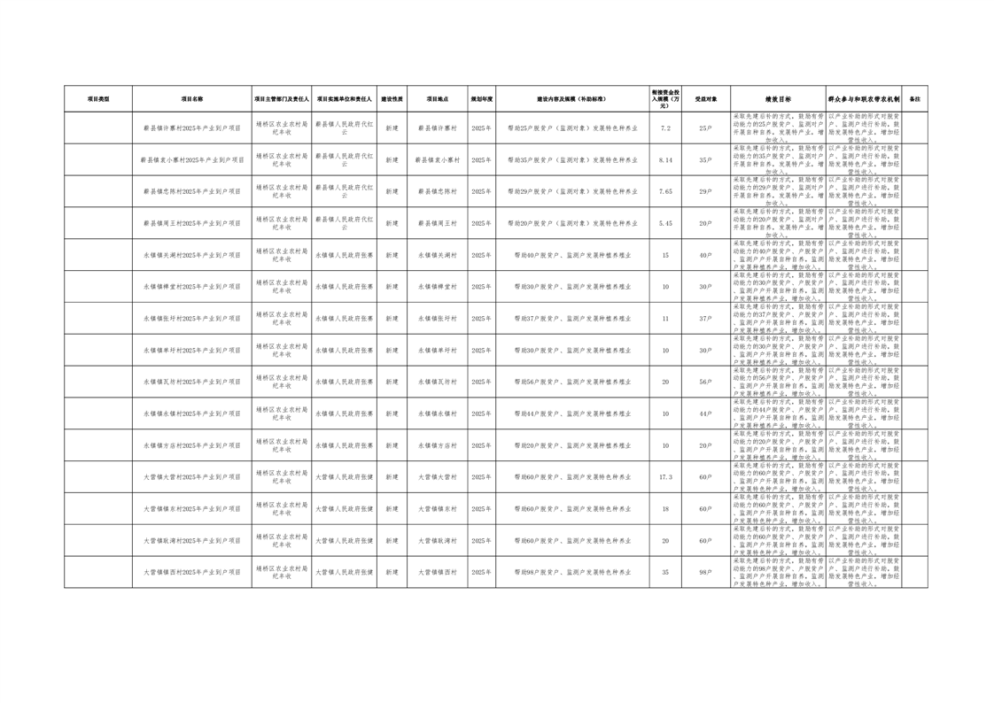
埇桥区2025年财政衔接推进乡村振兴补助资金项目实施计划明细表
关
键
词:
埇桥区2025年财政衔接推进乡村振兴补助资金项目实施计划明细表
文章来源: 芦岭镇人民政府
浏览量:
发表时间:2025-06-18 09:58
责任编辑: 芦岭镇人民政府
字体大小:
【
大
中
小
】
map