长辈版
无障碍
繁体中文
您的位置:
首页
> 桃园镇人民政府
>
巩固拓展脱贫攻坚成果同乡村振兴有效衔接领域
>
监督管理
信息分类:
内容分类:
监督管理
发文日期:
2021-05-08 17:46:12
生成日期:
2021-05-08 17:46:12
生效时间:
废止时间:
发布机构:
桃园镇人民政府
文 号:
名 称:
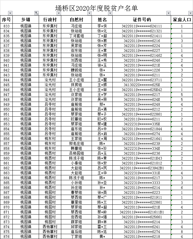
埇桥区2020年度脱贫户名单公告
关
键
词:
埇桥区2020年度脱贫户名单公告
文章来源: 桃园镇人民政府
浏览量:
发表时间:2021-05-08 17:46
责任编辑: 桃园镇人民政府
字体大小:
【
大
中
小
】
埇桥区2020年度脱贫户名单公告.pdf
map