长辈版
无障碍
繁体中文
您的位置:
首页
> 支河镇人民政府
>
社会救助领域
>
最低生活保障
信息分类:
内容分类:
最低生活保障
发文日期:
2024-07-04 15:54:49
生成日期:
2024-07-04 15:54:49
生效时间:
废止时间:
发布机构:
支河镇人民政府
文 号:
名 称:
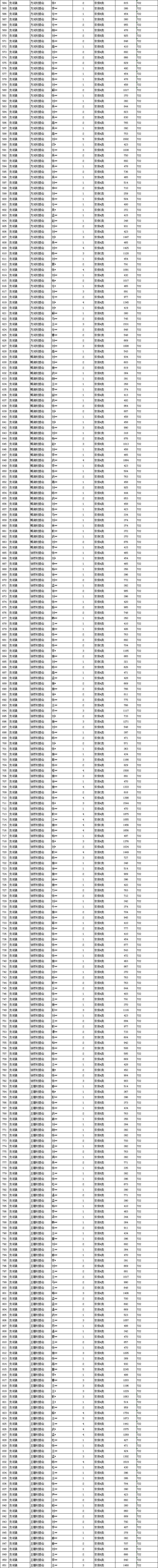
支河镇2024年6月低保发放花名册
关
键
词:
支河镇2024年6月低保发放花名册
文章来源: 支河镇人民政府
浏览量:
发表时间:2024-07-04 15:54
责任编辑: 支河乡人民政府
字体大小:
【
大
中
小
】
map