长辈版
无障碍
繁体中文
您的位置:
首页
> 桃沟镇人民政府
>
巩固拓展脱贫攻坚成果同乡村振兴有效衔接领域
>
财政衔接推进乡村振兴补助资金
>
行业扶贫相关财政资金和县域结对帮扶财政支援资金使用情况
信息分类:
内容分类:
行业扶贫相关财政资金和县域结对帮扶财政支援资金使用情况
发文日期:
2021-01-20 09:36:20
生成日期:
2021-01-20 09:36:20
生效时间:
废止时间:
发布机构:
桃沟镇人民政府
文 号:
名 称:
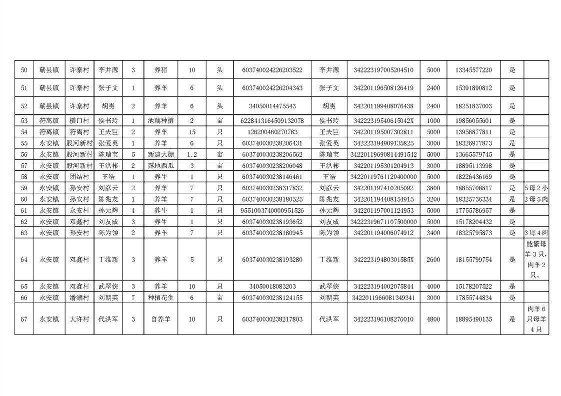
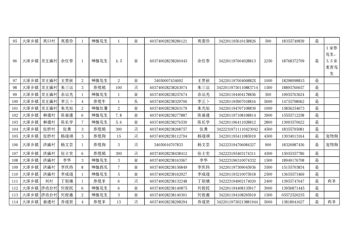
埇桥区2020年产业扶贫到户项目结余资金调整使用
关
键
词:
埇桥区2020年产业扶贫到户项目结余资金调整使用
文章来源: 桃沟乡人民政府
浏览量:
发表时间:2021-01-20 09:36
责任编辑: 桃沟乡人民政府
字体大小:
【
大
中
小
】
map