长辈版
无障碍
繁体中文
您的位置:
首页
> 北杨寨行管区
>
巩固拓展脱贫攻坚成果同乡村振兴有效衔接领域
>
财政衔接推进乡村振兴补助资金
>
财政衔接推进乡村振兴补助资金分配结果
信息分类:
内容分类:
财政衔接推进乡村振兴补助资金分配结果
发文日期:
2022-07-13 15:52:20
生成日期:
2022-07-13 15:52:20
生效时间:
废止时间:
发布机构:
北杨寨行管区
文 号:
名 称:
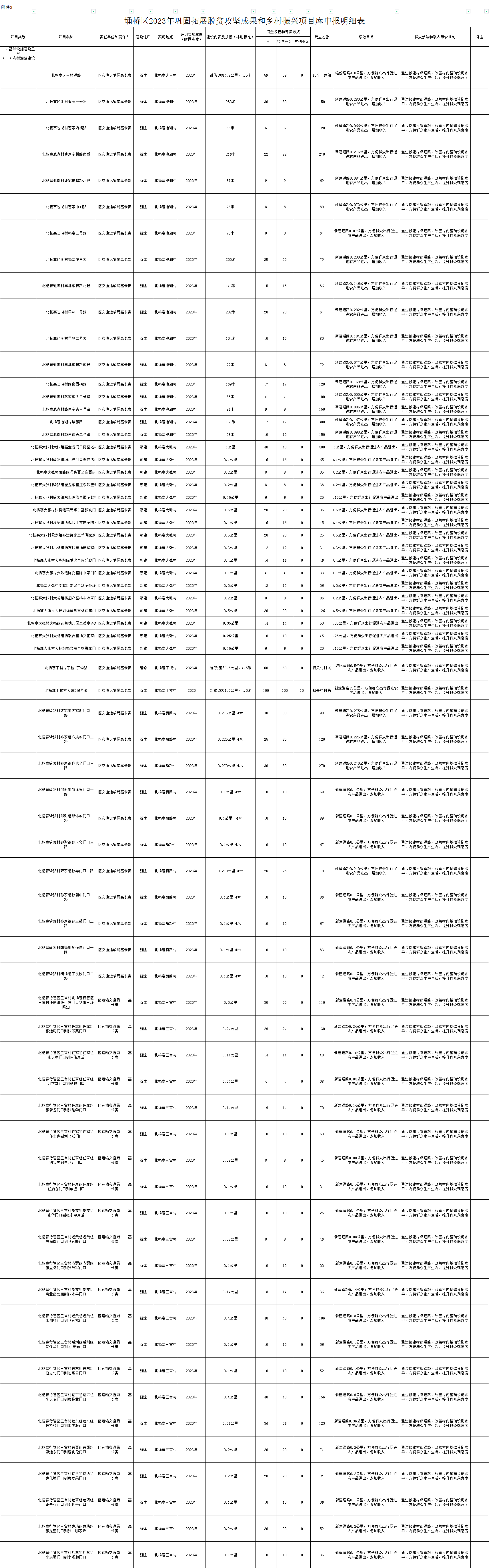
北杨寨行管区2023年巩固拓展脱贫攻坚成果和乡村振兴项目库申报明细表
关
键
词:
北杨寨行管区2023年巩固拓展脱贫攻坚成果和乡村振兴项目库申报明细表
文章来源: 北杨寨行管区
浏览量:
发表时间:2022-07-13 15:52
责任编辑: 北杨寨行管区
字体大小:
【
大
中
小
】
map