长辈版
无障碍
繁体中文
您的位置:
首页
> 蒿沟镇人民政府
>
巩固拓展脱贫攻坚成果同乡村振兴有效衔接领域
>
衔接资金项目
>
项目库建设
信息分类:
内容分类:
项目库建设
发文日期:
2023-08-10 09:35:31
生成日期:
2023-08-10 09:35:31
生效时间:
废止时间:
发布机构:
蒿沟镇人民政府
文 号:
名 称:
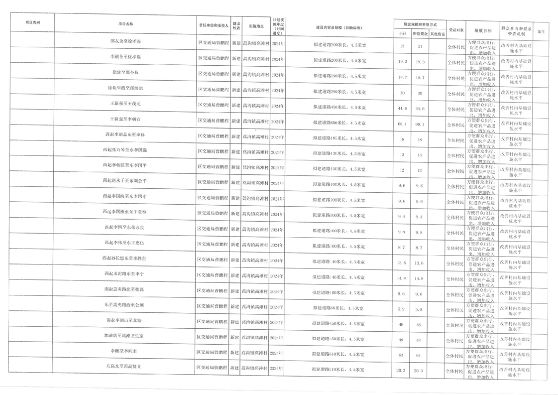
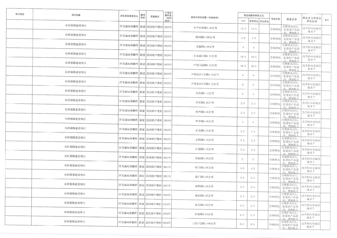
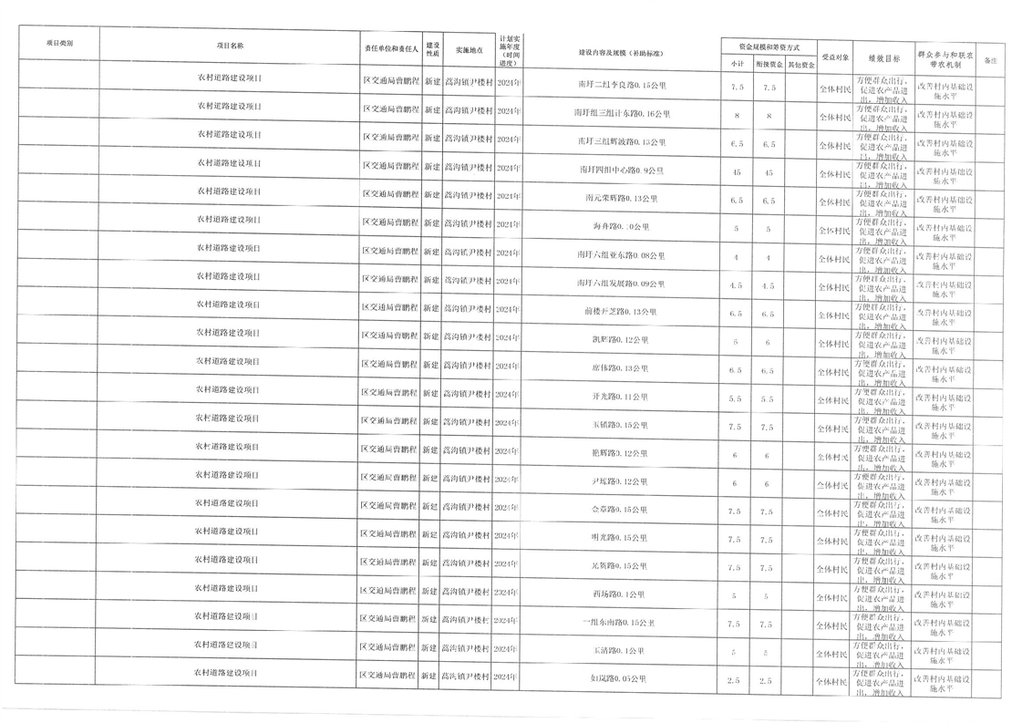
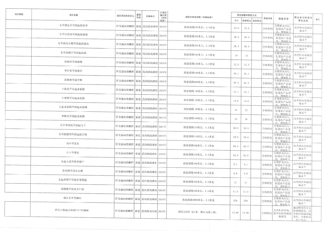
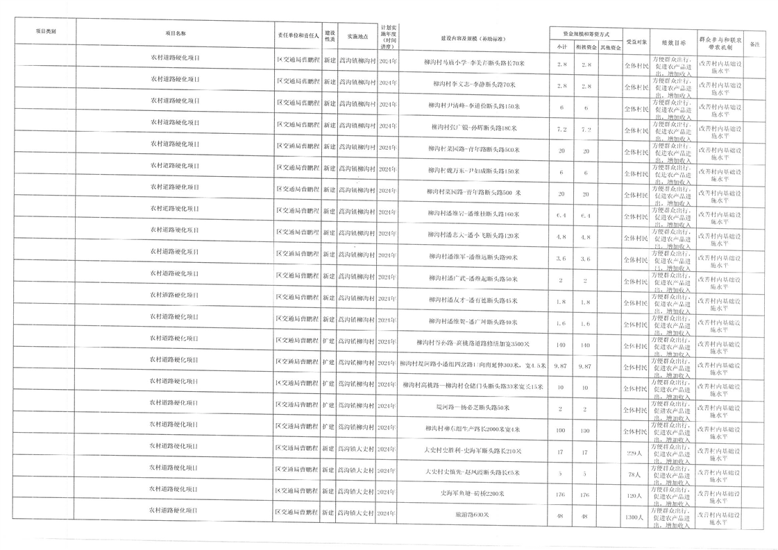
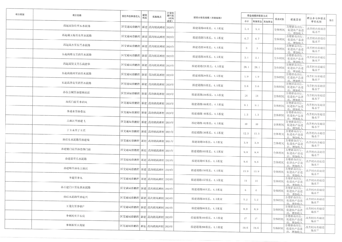
关于蒿沟镇2024年巩固拓展脱贫攻坚成果和乡村振兴项目库的公示
关
键
词:
关于蒿沟镇2024年巩固拓展脱贫攻坚成果和乡村振兴项目库的公示
文章来源: 蒿沟镇人民政府
浏览量:
发表时间:2023-08-10 09:35
责任编辑: 蒿沟镇人民政府
字体大小:
【
大
中
小
】
map